Guvernul a actualizat declarația pe propria răspundere și adeverința de angajator pentru carantina de noapte

În localitățile cu rata de incidență crescută se va impune carantina de noapte, după cum urmează: în weekend, acolo unde rata de incidență este mai mare de 6, și în fiecare zi a săptămânii dacă rata a depășit 7,5 cazuri active la mia de locuitori. Excepție fac persoanele care sunt vaccinate sau au trecut prin boală în ultimele șase luni. Acestea pot circula liber, în baza certificatului COVID. Persoanele cu test negativ se supun regulilor carantinei.

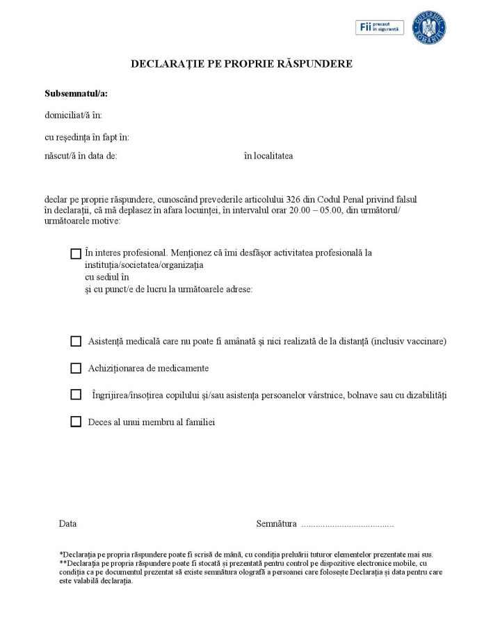
Astfel, declarația pe propria răspundere poate fi folosită pentru deplasări în intervalul 20:00-05:00, în următoarele scopuri

  • În interes profesional, în baza adeverinței de la angajator
  • Pentru asistență medicală care nu poate fi amânată și nici realizată de la distanță (inclusiv vaccinare);
  • Pentru achiziționarea de medicamente;
  • Pentru îngrijirea/însoțirea copilului și/sau asistența persoanelor vârstnice, bolnave sau cu dizabilități;
  • Deces al unui membru al familiei.

Descarcă de aici cele două documente:

declarație pe propria răspundere 

adeverință angajator 

LĂSAȚI UN MESAJ

Vă rugăm să introduceți comentariul dvs.!
Introduceți aici numele dvs.

LĂSAȚI UN MESAJ Renunțați la răspuns

Vă rugăm să introduceți comentariul dvs.!
Introduceți aici numele dvs.

RECOMANDĂRI

De ce este esențială echilibrarea roților și ce se întâmplă dacă...

La fiecare schimb de anvelope, mecanicul îți spune aproape automat: „Facem și o echilibrare?”. Mulți șoferi dau din cap aprobator, fără să știe exact...

Portocale cu pesticide vândute în hypermarketuri

Opt percheziții au avut loc, joi, 12 februarie, după ce reprezentanții unei societăți comerciale ar fi oferit spre vânzare portocale cu un conținut ridicat...

40 de percheziții, inclusiv în Brașov, într-un dosar de evaziune fiscală

Polițiștii din cadrul Serviciului de Investigare a Criminalității Economice Mureș fac joi 40 de mandate de percheziție în șase județe, inclusiv în Brașov, într-un...

Săli de clasă și laboratoare dotate cu echipamente, în județul Brașov....

Mai multe unități de învățământ special din judeţul Braşov, dar şi Palatul Copiilor vor fi dotate cu materiale şi echipamente didactice achiziționate cu fonduri...

Trafic deviat pe un pod provizoriu pe DN1A, între Săcele și...

Traficul rutier pe DN1 A, între Săcele și Cheia, a fost deviat pe un pod provizoriu, în zona Brădet. Potrivit Direcției Regionale de Drumuri și...

Cutremur de 3 grade Richter în zona Vrancea

Un cutremur cu magnitudinea 3 grade Richter s-a produs, marți seară, în zona seismică Vrancea, a anunțat Institutul Național de Cercetare – Dezvoltare pentru...

Lista pârtiilor deschise în Poiana Brașov

Veste bună pentru pasionații sporturilor de iarnă. Instalațiile de înzăpezire funcționează la capacitate maximă. Primăria Brașov a anunțat și lista pârtiilor unde se poate...

Competiții de schi alpin pe pârtiile din Poiana Brașov

Primăria Brașov anunță că în acest weekend au loc noi competiții de schi alpin pe pârtiile din Poiana Brașov. Pârtiile din Poiana Brașov continuă...
Exit mobile version